軌道車輛電動自動門控制系統開發
自動門系統是城市軌道交通車輛的一個重要部分,直接關系著乘客的安全。目前國內的動車組多數采用單翼塞拉門,地鐵采用雙翼對開門。國內常用的自動門主要是氣動門,如單翼氣動塞拉門、雙翼氣動內藏式對開門,但是電動門作為一種新型的自動門系統,也逐漸被推廣應用。
1 電動自動門工作原理
自動門的工作原理為門板由支架支撐在導軌上,導軌連接到驅動裝置,驅動裝置通過導軌帶動門板滑動。每個門都有鎖閉機構,在門關閉到位時,鎖閉機構實現機械鎖閉。車門具有零速保護和安全連鎖電路,開關門有報警裝置。電動門的驅動裝置是一組電機組件,每節車有一個主控制器來控制本節車的車門。主控制器是自動門的指揮中心,通過內部指令程序,發出相應指令,指揮電機或電鎖類系統工作;同時人們也可通過主控器調節門扇開啟速度、開啟幅度等參數.外部信號由感應探測器完成,當有移動的物體進入他的工作范圍時,他就給主控制器一個脈沖信號;電機提供開門與關門的主動力,控制自動門門扇加速與減速運行。自動門門扇完成一次開門與關門,其工作流程如下:感應探測器將探測信號傳至主控器,主控器判斷后控制電機運行,同時監控電機轉數及電流,以便控制電機在一定時候加力和進入慢行運行及反轉。電機得到一定運行電流后做正向運行,將動力經傳動機構使自動門扇開啟;自動門扇開啟后由控制器作出判斷,控制馬達作反向運動,關閉自動門扇。
2 控制系統的主控器及執行器
自動門測控系統的主控制器采用TI DSP,型號為TMS320C2812,是先進的32位定點DSP芯片,他不但運行速度高,處理功能強大,并且具有豐富的片內外圍設備,便于接口和模塊化設計,特別適合于有大批量數據處理的測控,利用DSP技術建立有效的信號處理模型以抑制干擾噪聲,達到信噪比最大,對本系統的直流無刷電機的測控完全能夠保證其實時性。直流無刷電機采用的是ALC-TEL的BG65PI電機,他具有高效率、省電、低噪音、高轉速、高扭力、連續使用不發熱等特性,大大超越傳統AC伺服馬達,配合T型齒條同步帶,使門體自低速至高速的運行均具有超越的寧靜性,達到了超靜運行。測控系統設計為智能化控制,可隨意設定門扇的運行速度,并可設定任意開度狀態;可自矯正使門扇保持平穩動作;能夠自動檢測門的寬度以保持最佳運行狀態;具有防夾功能,即當碰到障礙物或人體等異常狀況時,門扇自動反轉退出,運行過程中,由高速至低速平滑過度。

3 控制系統中的傳感器
對于自動門控制系統,就是傳感器在接收到外界有人存在時,進行開門動作,之后再關門,控制器不但要單獨控制車門,而且還要進行整車通信及其他聯系,因此能否有效開門及及時關門,保持車內有效環境都取決于控制器的設計。紅外熱釋電傳感器是以檢測人體所發出的8~13 μm的紅外線來控制的,由微波器件發出,經人體反射,再由器件檢出并放大,之后控制后續電路,他的特點是不管人員是否移動,只要處于感應器的掃描范圍內,他都會反應,無法進行關門,這對保證車箱內環境較小變化不利,因此不適合軌道車輛聯接的內端門,因此在這里我們選用微波感應器,又稱微波雷達,他對物體的移動進行反應,他的反應速度比紅外感應器快,很適合于在軌道客車車門使用,他的特點是一旦在門附近的人員不想出門而靜止不動,雷達便不再反應,自動門就會關閉,由于本設計系統有防夾功能,可以解決有可能出現的夾人現象。
4 控制系統的控制方法與程序設計
4.1 采用的控制方法
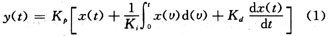
控制方法采用直接數字控制方法,是一種較好的在線實時控制,一般對輸出控制量y(t)和輸入位置量x(t)的PID控制算法為:
![]()
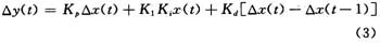
其中Kp為比例境益,TI為積分時間常數,Td為微分時間常數。為減少計算量,改為用和式及差分計算,因此當采樣周期為T時有:
![]()
在自動門開關閉過程中設一開關量信號做一位置信號ε,當計算的輸入量位置量x(t)在此位置信號外時,即x(t)>ε時,輸出控制量y(t)有較快響應速度,自動門開閉反應快速;反之則較慢但有一定精度并實現一些所預設功能如防夾實現等。其計算公式為:
![]()
式中當x(t)>ε時,K1=1;當x(t)≤ε時,K1=0。這樣當自動門開啟及關閉初始時可取消積分作用,積分的累積效應控制在很小范圍,而且避免了系統振蕩并使精度仍得以保證。
對于一個完美的測控系統來說,必須能夠精確地復制被測信號的波形,分析計算后,給出準確的輸出控制信號,且在時間上沒有任何的延時。在實際的系統中,t時刻的輸入x(t)與輸出y(t)之間的關系為:y(t)=Kx(t-t0),式中K,t0都是常量,在本閉環測控系統中,系統的輸出對輸入的滯后會破壞其穩定性,因此最大限度保證系統精確或不失真的條件就是t0=0,但實際反饋控制中t0不可能為0,也就不可避免地出現測量及控制的死區時間。所謂死區時間可以定義為從“測量傳感器檢測到變量開始改變的瞬時”到“控制器對生產過程開始施加正確有效干預的瞬時”之間的延遲時間。在試驗過程中,將傳感器安裝至自動門中部位置,調整達到了探測信號的最短距離,減少了傳輸延時,在安裝上消除一部分死區時間;另外調整控制器的偏差容錯度,即減弱控制器的整定參數,以此來減緩系統的響應速度,在不可能消除的情況下,減少死區時間。消除誤差的工作中,在保證可靠適用,避免帶來成本提高,在充分試驗后選擇前面提到型號保證了上下元器件的可靠使用。采用電磁兼容性(EMC)設計電器系統,克服信號干擾問題。
4.2 程序設計
軟件采用C28x匯編語言編寫,對信號實現實時處理,隨著DSP的發展,其主要工作已經轉向軟件開發,軟件開發將占據約80%的工作量,尤其算法已成為DSP核心,另外對電機的變速驅動,也最終由軟件實現。
5 結 語
經過軌道車輛模擬試驗運行,成都自動門運行速度在0~500 mm/s可調,開門時間0.1~10 s可調,探測角度大于150°,探測誤差角度、障礙物執行死區時間誤差率等項技術指標達到合同相關標準。對電器、機械零部件長時間顛簸、強震動、沖擊環境下整個系統的可靠性及精度有了保證。